|  | 
                                
                                  | PICFTR & PICFTP technologies -Chemistry Capabilities | 
                                
                                  |  | 
                                
                                  | SBI is capable of handling a variety of reaction conditions for example but not limited to conditions, reagents and reactions presented below. | 
                                
                                  |  | 
                                
                                  |  | 
                                
                                  |  | 
                                
                                  | Following are some of the examples where our Process Intensifying Continuous process Flow Reactions can be applied to manufacture an array of advanced intermediates.  | 
                                
                                  |  | 
                                
                                  | Mitsunobu Reaction | 
                                
                                  |  | 
                                
                                  | 
 | 
                                
                                  |  | 
                                
                                  |  | 
                                
                                  | With the Mitsunobu Reaction intermolecular  substitution leads to esters, ethers, thioethers, isothiocyanates and amines.  Via the intramolecular variant, lactones and lactames can be achieved. | 
                                
                                  | Application of Mitsunobu Reaction:        Orlistat / Xanical: Anti-obesity (Hoffman  La Roche); Eletriptan (Triptans): Migraine (Pfizer)
 | 
                                
                                  | Heck Reaction  | 
                                
                                  |  | 
                                
                                  |  Application of Heck Reaction:     Eletriptan (Triptans): Migraine (Pfizer); Naratriptan  : Migraine (Glaxo); Substituted Indoles 
 | 
                                
                                  | Suzuki Reaction | 
                                
                                  |  | 
                                
                                  | Application of Suzuki Reaction: Valsartan: Antihypertensive (Novartis); Boscalid:  Fungicide (BASF); GR127935: Antihypertensive (Glaxo)
 | 
                                
                                  | Asymmetric Hydrogenation | 
                                
                                  |  | 
                                
                                  | Application of Asymmetric Hydrogenation Reaction:              Atrovastatin, Lipitor: Statin  class; UK-396,082-03, Anti-thrombotic agent; Tipranavir: Anti-AIDS; drug  (Pharmacia); levofloxacin: Anti-bacterial; L-Dopa Ant-Parkinson’s
 | 
                                
                                  | Tryptamine Intermediates | 
                                
                                  |  | 
                                
                                  | Application of Typtamine Intermediates: Sumatryptan: Migraine; Melatonin; 5-Hydroxy  tryptamine
 | 
                                
                                  | Triphosgene Chemistry | 
                                
                                  |  | 
                                
                                  | Application of Triphosgene Chemistry:  Carbonyl diimidazole: Coupling agent used in  the synthesis of Viagra; Coupling agent in peptide synthesis (SBI proprietary  technology); Oxacarbazepine: Anti-epileptic (Clariant); Droxicam:  Anti-inflammatory | 
                                
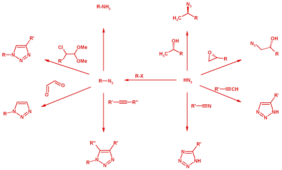
                                  | Hydrazoic Acid / Azide Chemistry | 
                                
                                  |  | 
                                
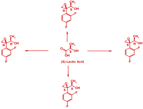
                                  | Lactic Acid Chemistry  | 
                                
                                  |  | 
                                
                                  | Malic acid Chemistry (combination of batch and continuous  reactions) | 
                                
                                  |  | 
                                
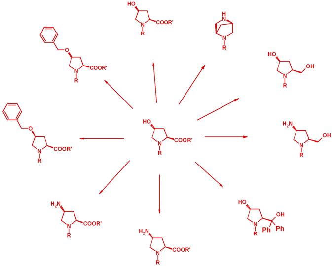
                                  | Hydroxy Proline Chemistry | 
                                
                                  |  | 
                                
                                  | Dehydration of Amides | 
                                
                                  |  | 
                                
                                  | Reactions involving Grignard reagents:  | 
                                
                                  |  | 
                                
                                  | Application of Grignard Reagents: Voriconazole: Anti-fungal (Pfizer); Itraconazole:  Anti-fungal; 
 
 | 
                                
                                  | Nitration | 
                                
                                  |  | 
                                
                                  | Knorr Pyrrole Synthesis | 
                                
                                  |  | 
                                
                                  | Pyrazole Synthesis | 
                                
                                  |  | 
                                
                                  | Oxazole Synthesis | 
                                
                                  |  | 
                                
                                  | Reactions with Acid Chlorides | 
                                
                                  |  | 
                                
                                  |  |