..:::.. SBI FINE CHEMICALA INC. ..:::..
Specialists at Continuous Processing, Sbi fine chemicals inc, Aim fine chemicals, Continuous Reactions, Fine Chemicals, Custom Synthesis,Proline,Pyrrolidine,Pyrrolidinol, Custom molecule, Custommolecule, Chemicals, Chemical Manufacturer,
ChemicalManufactu
Sbi fine chemicals inc, Aim fine chemicals, Continuous Reactions, Fine Chemicals, Custom Synthesis,Proline,Pyrrolidine,Pyrrolidinol, Custom molecule, Custommolecule, Chemicals, Chemical Manufacturer, ChemicalManufacturer, chemists, new molecule development, lead-optimization, lead optimization, custom synthesis, customsynthesis, scale up, scaleup, Process development, Contract manufacturer, Process research, Process development, Advance Intermediate, Advance Chiral Intermediate, Advance Chiral Intermediate, Advance ChiralIntermediate, optically active compounds, optically active intermediate, Acylation, chiral epoxide, chiral glycidol, Chiral Intermediate, Asymmetric synthesis, Industrial Chemical, Industrial Chemicals, research products, research chemical products, process technology, custom chemical process,custom chemical processes, chemical engineering process, chemical engineering processes, environmental chemicals, pharmaceutical chemicals, pharmaceutical research products
sbi fine chemicals
Mitsunobu Reaction
Heck Reaction
Suzuki Reaction
Asymmetric Hydrogenation
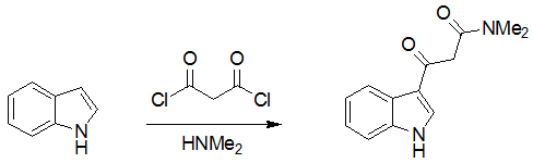
Tryptamine Intermediates
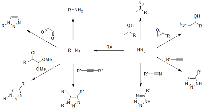
Hydrazoic Acid / Azide Chemistry
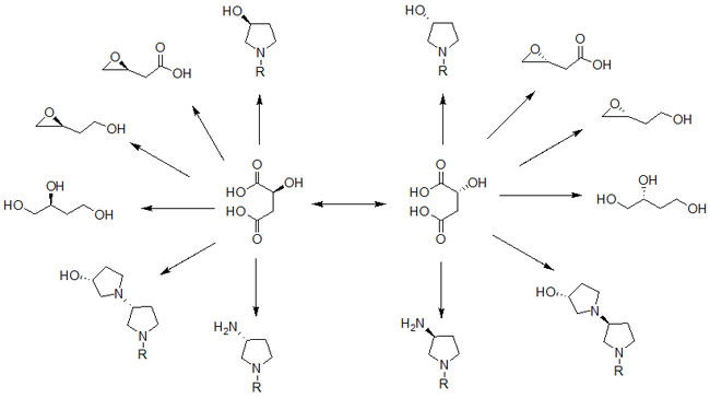
Lactic Acid Chemistry
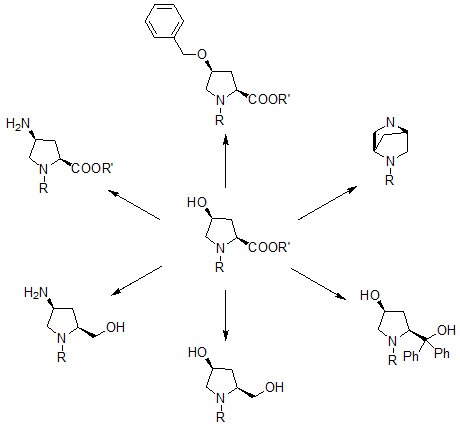
Hydroxy Proline Chemistry
Dehydration of Amides
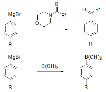
Reactions involving Grignard reagents:
Nitration
Knorr Pyrrole Synthesis
Pyrazole Synthesis
Reactions with Acid Chlorides
	Sbi Fine Chemicals inc is a chemical manufacturer that enables research scientists and manufacting chemists to achieve their project goals. Sbi provides custom solutions.
	Sbi fine chemicals inc, Aim fine chemicals, Continuous Reactions, Fine Chemicals, Custom Synthesis,Proline,Pyrrolidine,Pyrrolidinol, Custom molecule, Custommolecule, Chemicals, Chemical Manufacturer, ChemicalManufacturer, chemists,
new molecule developme